In this article, Alexandre LANGEVIN (ESSEC Business School, Global Bachelor in Business Administration (BBA), 2022-2026) explains how duration and convexity allow investors and risk managers to measure and anticipate how bond prices react to changes in interest rates, and why the distinction between the two matters in practice.
Introduction
Bond markets sit at the heart of the global financial system, with outstanding fixed income markets exceeding $145 trillion worldwide (SIFMA, 2025). Yet one of the most fundamental challenges in fixed-income investing is deceptively simple to state: when interest rates move, bond prices move in the opposite direction. The harder question is by how much, and how accurately can we predict it?
Two risk measures answer that question: duration and convexity. Duration provides a first-order, linear approximation of price sensitivity to yield changes. Convexity accounts for the curvature in the price-yield relationship, improving accuracy when rate moves are large. Together, they form the analytical backbone of fixed-income risk management, from portfolio construction to regulatory capital requirements at banks.
Bond Pricing: The Starting Point
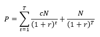
The price of a fixed-rate bond is the present value of all its future cash flows: periodic coupon payments and repayment of the face value at maturity, discounted at the bond’s yield-to-maturity. The yield-to-maturity (YTM) is the single discount rate that equates the present value of all cash flows to the current market price. With nominal value N, annual coupon rate c, maturity T, and YTM r, the bond price P is:

As r rises, each discount factor grows, reducing the present value of every future cash flow and pushing the total price down. A useful benchmark: when the coupon rate equals the YTM, the bond prices at par. When the coupon rate exceeds the YTM, the bond trades above par — this is a premium bond, identifiable directly from the parameters before computing anything.
Duration
Macaulay Duration
Duration was formalized by Frederick Macaulay in 1938. Macaulay duration is the weighted average of the times at which a bond pays its cash flows, where each weight is the share of total present value arriving at that date. It answers: on average, how long does an investor wait to receive their money back?
A zero-coupon bond has a duration equal to its maturity, since all cash flow arrives at the end. A coupon bond always has a shorter duration than its maturity, because intermediate coupon payments pull the weighted average forward. For a given maturity, a higher coupon rate or a higher yield both reduce duration.
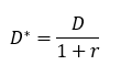
Modified Duration
Modified duration is Macaulay duration adjusted by dividing by (1 + r). It has a direct use as a price sensitivity measure: a bond’s percentage price change is approximately equal to minus its modified duration multiplied by the change in yield.


If a bond has a modified duration of 6, a 1% rise in yield reduces its price by roughly 6%. This is practical and widely used, but it is only a linear approximation and loses accuracy as yield changes grow larger.
In practice, traders and risk managers also use DV01 (Dollar Value of a Basis Point): the monetary price change for a 1 basis point (0.01%) shift in yield, equal to D* × P × 0.0001. DV01 is the standard unit for setting position limits on bond desks and for computing interest rate risk under Basel III.
Convexity
Why Duration Is Not Enough
The price-yield relationship of a bond is not a straight line — it is a convex curve. Duration approximates this curve with a tangent line at the current yield. For small yield moves this works reasonably well, but for larger moves the error accumulates in a predictable direction: duration always underestimates the true price. When rates fall, the actual price gain is larger than duration predicts. When rates rise, the actual price loss is smaller. This asymmetry, always working in the bondholder’s favor, is the essence of convexity.
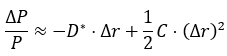
The Convexity Correction
Convexity is the second derivative of the bond price with respect to the yield, divided by the price. Adding it as a second-order correction gives a substantially more accurate estimate:

The convexity term is always positive regardless of yield direction, which creates the favorable asymmetry: it always adds to the price estimate, making gains larger and losses smaller than the duration-only figure.
A Numerical Illustration
Consider a 7-year bond with a face value of $1,000, an annual coupon rate of 4%, and a current YTM of 3.5%. Since the coupon exceeds the yield, this is a premium bond. The Excel model gives a bond price of $1,030.57, a Macaulay duration of 6.26 years, a modified duration of 6.04, and a convexity of 44.91.
Figure 1. Cash Flow Analysis table and key results (N = $1,000, c = 4%, T = 7 years, r₀ = 3.5%).

Source: computation by the author.
Now suppose the yield rises 2 percentage points, from 3.5% to 5.5%. The exact bond price falls to $914.76, a decline of 11.24%. The duration approximation predicts $906.00, overestimating the loss by nearly $9. The duration-convexity approximation gives $915.26, bringing the error down to under $0.50. Figure 2 shows this comparison across the full yield range.
Figure 2. Bond price as a function of YTM (N = $1,000, c = 4%, T = 7 years, r₀ = 3.5%): exact price (blue), duration approximation (red), duration + convexity approximation (green).

Source: computation by the author.
Excel Model
The Excel file below replicates these calculations for any bond. It contains a Cash Flow Analysis sheet computing present value, duration contribution, and convexity contribution for each year; a Price-Yield Chart comparing all three methods; and a Read Me tab. All inputs are editable in yellow cells, and the model supports maturities from 1 to 20 years.
A Note on Long-Duration Bonds
The limitations of the duration approximation become more pronounced for longer-maturity bonds. A 20-year bond with the same 4% coupon carries a modified duration of roughly 13-14 years. Applied to a large yield shift, the linear formula can produce a negative estimated price, because the correction term eventually exceeds the bond’s starting price. This does not happen in reality. It is simply a demonstration of how far the linear approximation strays when pushed outside its valid range. The duration-convexity approximation remains far better behaved across the same range. For long-duration bonds in volatile rate environments, accounting for convexity is not optional.
Figure 3. Price-Yield chart for a 20-year bond: the duration approximation turns negative at high yields while the convexity approximation tracks the exact price.

Source: computation by the author.
Applications in Fixed-Income Risk Management
Portfolio immunization. A portfolio manager protecting a bond portfolio against parallel rate shifts will match portfolio duration to the investment horizon. Price losses from rising rates are offset by higher reinvestment income on coupons, leaving total return roughly unchanged.
Risk limits and regulatory capital. Banks use DV01 to set position limits for fixed-income traders and to estimate interest rate risk under Basel III. A trader might be authorized to hold a maximum DV01 of $50,000, meaning no more than $50,000 of profit or loss per basis point move.
Convexity as a source of value. In volatile rate environments, investors seek bonds with high convexity. The asymmetric payoff profile — larger gains than losses for equal rate moves in either direction — is a property the market prices accordingly. Long-dated government bonds are a typical example.
Limitations. Both measures assume a parallel shift in the yield curve. In practice, the curve can steepen, flatten, or twist. For more granular risk measurement, practitioners use key rate durations, which isolate sensitivity at individual maturities. Duration and convexity remain the essential starting point.
Why should I be interested in this post?
Duration and convexity appear in fixed-income interviews, in the CFA curriculum, and in the daily work of bond traders and risk officers. Whether you are targeting investment banking, asset management, or financial risk management, these are concepts you will encounter early. The distinction between linear and non-linear sensitivity also recurs throughout quantitative finance, from option Greeks to credit portfolio models. Being able to work through it from first principles and build a functioning model is a meaningful differentiator at the MSc Finance level.
Related posts on the SimTrade blog
▶ Nithisha CHALLA US Treasury Bonds
▶ Georges WAUBERT Bond risks
▶ Georges WAUBERT Introduction to bonds
▶ Georges WAUBERT Bond valuation
▶ All posts about Financial techniques
Useful resources
Academic research
SIFMA (2025) Capital Markets Fact Book 2025. Available at sifma.org.
Cerovic, S., Pepic, M., Cerovic, S. and Cerovic, N. (2014) Duration and Convexity of Bonds, Singidunum Journal of Applied Sciences, 11(1), 52-66. Available at journal.singidunum.ac.rs.
Winkel, M. (2011) Duration, Convexity and Immunisation, Lecture Notes, Department of Statistics, University of Oxford. Available at stats.ox.ac.uk.
Crack, T.F. and Nawalkha, S.K. (2000) Common Misunderstandings Concerning Duration and Convexity, Working Paper. Available at ssrn.com.
Jeffrey, A. (2000) Duration, Convexity and Higher Order Hedging (Revisited), Yale International Center for Finance, Working Paper No. 00-22. Available at ssrn.com.
SimTrade
SimTrade Courses
About the author
The article was written in April 2026 by Alexandre LANGEVIN (ESSEC Business School, Global Bachelor in Business Administration (BBA), 2022-2026).
▶ Discover all articles by Alexandre LANGEVIN.
